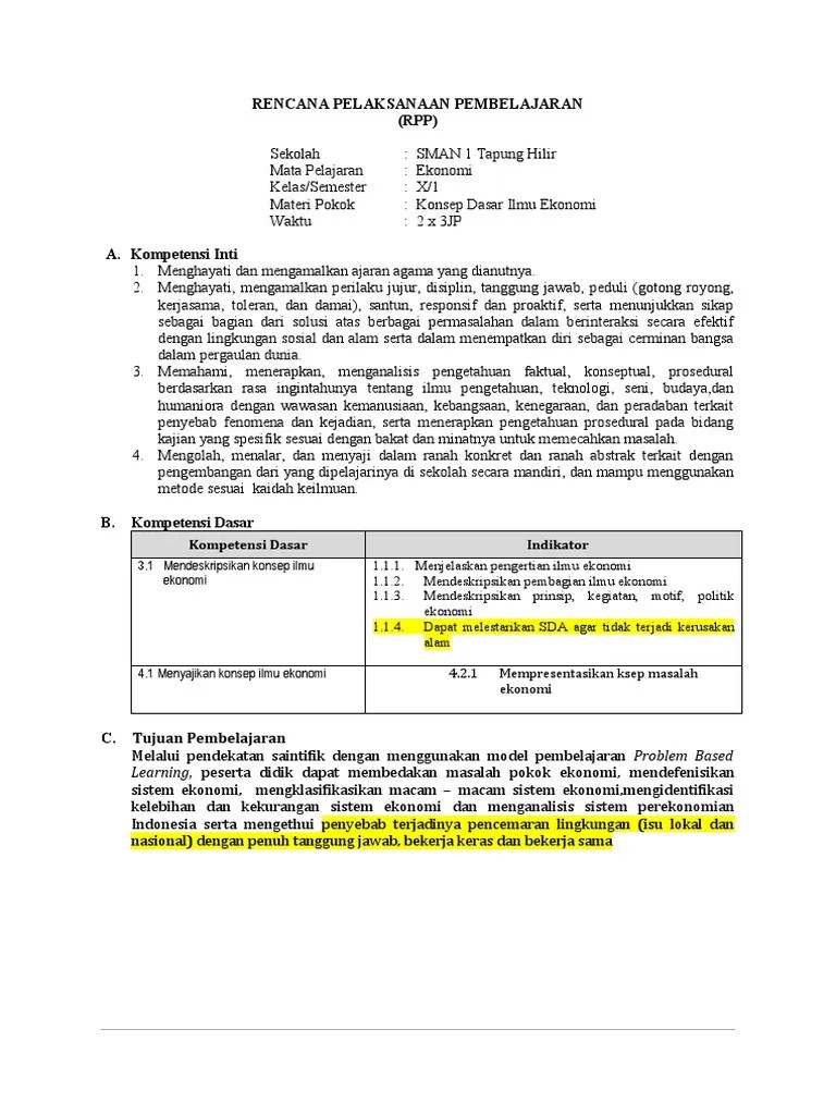
Inilah materi ekonomi syariah kelas 10 semester 1 Ringkasan Materi Ekonomi Kelas X Semester 1. Semoga materi Ekonomi ini bisa membantu untuk memudahkan dalam kegiatan belajar. Melanjutkan contoh soal ekonomi kelas x semester 1 kurikulum 2013 beserta jawabannya pilihan ganda bagian pertama soal nomor 1 10 bagian kedua berisikan materi yang sama dengan pg bagian pertama dan juga essay ekonomi kelas 10 semester 1 ke 1 yaitu tentang konsep ilmu ekonomi. Lihat juga soal: ekonomi dan materi ekonomi syariah kelas 10 semester 1 Kelangsungan hidup manusia merupakan suatu proses yang berkesinambungan dan beragamnya kepuasan yang diinginkan menjadikan kebutuhan manusia tidak terbatas.
Contoh soal ekonomi kelas x semester 1 kurikulum 2013 beserta jawabannya pilihan ganda part 2 melanjutkan contoh soal ekonomi kelas x semester 1 kurikulum 2013 beserta jawabannya pilihan ganda bagian pertama soal nomor 1 10 bagian kedua berisikan materi yang sama dengan pg bagian pertama dan juga essay ekonomi kelas 10 semester 1 ke 1 yaitu tentang konsep ilmu ekonomi. Kompetensi Dasar 31 Mendeskripsikan konsep ilmu ekonomi. Tulisan uji kompetensi soal ekonomi kelas x semester 1 kurikulum 2013 beserta jawabannya tulisan ini berisikan materi ekonomi yang sama dengan contoh soal essay ekonomi bagian pertama yaitu tentang konsep ilmu ekonomisoal soal ekonomi yang ada sesuai dengan permendikbud.

KONSEP DASAR ILMU EKONOMI. Ekonomi Syariah Ekonomi Kelas 10 K13 Quipper Blog Materi Ekonomi Syariah Kelas 10 Semester 1 Pada dasarnya kebutuhan manusia itu berkaitan dengan kelangsungan hidup dan kepuasan yang diinginkan.
Ekonomi Syariah Ekonomi Kelas 10 K13 Quipper Blog Materi Ekonomi Syariah Kelas 10 Semester 1 Ekonomi syariah dapat didefinisikan sebagai suatu sistem perekonomian yang berbasis pada prinsip-prinsip syariah islam. Ekonomi berasal dari bhasa yunani yakni dari kata oikos yg berarti rumah tangga dan nomos yg berarti peraturan. |
| Lihat Ekonomi Syariah Ekonomi Kelas 10 K13 Quipper Blog |
Demikianlah materi pelajaran Ekonomi kelas 10 SMASMK semester 1 dan semester 2 hasil revisi terbaru 2021 yang dapat kami bagikan kepada sahabat buku paket dimana saja berada.

Http Bsd Pendidikan Id Data Sma 10 Ekonomi 1 Sma Kelas 10 Sri Nur Mulyati Agus Mahfudz Leni Permana 2009 Pdf. Materi Ekonomi Kelas 10 Semester 1 Kurikulum 2013Contoh Soal UASPAS Ekonomi Kelas X Semester 1 Kurikulum 2013 Beserta Jawaban yang admin publish di blog ini sekiranya dapat menjadi referensi bagi siswa SMAMASederajat dalam rangka menghadapi pekan ujian akhir semester atau penilaian akhir semester satu mapel ekonomi. Materi Pelajaran Ekonomi SMA Kelas X Semester 12 Lengkap - Pelajaran ekonomi merupakan salah satu pelajaran yang mempelajari tentang perilaku dan tindakan manusia untuk memenuhi kebutuhan hidupnya melalui kegiatan produksi distribusi dan konsumsi. Ekonomi Kelas X Manajemen K 13 A Pengertian Manajemen Tujuan. Materi Ekonomi Kelas 10 Semester 1 Kurikulum 2013 Pdf. Detail Kunci Jawaban Buku Esis Ekonomi Kelas 10 Bab 1 PDF dapat kamu nikmati dengan cara klik link download dibawah dengan mudah tanpa iklan yang mengganggu.
Sebutkan sistem ekonomi pasar dan sistem ekonomi. Jual Ekonomi Kelas 10 Di Jakarta Barat Harga Terbaru 2021 Materi Ekonomi Syariah Kelas 10 Semester 1 Soal ini menggunakan kurikulum 2013 sebagai acuannya yang mana Materi UAS Ekonomi kelas 10 semester 1 berisikan tentang fenomena alam beserta hal yang berkaitan tentang ilmu ekonomim kegiatan ekonomi dll.
Jual Ekonomi Kelas 10 Di Jakarta Barat Harga Terbaru 2021 Materi Ekonomi Syariah Kelas 10 Semester 1 If you continue browsing the site you agree to the use of cookies on this website. Download buku guru dan siswa sma kelas x xi dan xii kurikulum 2013 edisi revisi 2016. |
| Lihat Jual Ekonomi Kelas 10 Di Jakarta Barat Harga Terbaru 2021 |

Slideshare uses cookies to improve functionality and performance and to provide you with relevant advertising. Sma10eko Ekonomi Mintasihindriayu Materi Ekonomi Syariah Kelas 10 Semester 1 Download Kunci Jawaban Buku Esis Ekonomi Kelas 10 Bab 1 PDF 700 MB - SamPDF Unduh Kunci Jawaban Buku Esis Ekonomi Kelas 10 Bab 1 PDF secara gratis di SamPDF.
Sma10eko Ekonomi Mintasihindriayu Materi Ekonomi Syariah Kelas 10 Semester 1 17 hours ago hidroponik kit. Yang mana sudah dipelajari di semester 1 6 bulan ini. |
| Lihat Sma10eko Ekonomi Mintasihindriayu |

Guru sd smp sma contoh soal dan jawaban manajemen ekonomi syariah. Rpp Kls X Ekonomi Semester 1 Pdf Materi Ekonomi Syariah Kelas 10 Semester 1 Silabus Ekonomi Kelas 10 SMA Tahun 2021Hai sahabat Ilmuguru dalam kesempatan kali ini admin ingin share Lengkap Perangkat pembelajaran berupa Silabus Ekonomi Format 6 Kolom Kelas X Semester 1 dan 2 Tingkat SMAMA Kurikulum 2013 Tahun 20212022.
Rpp Kls X Ekonomi Semester 1 Pdf Materi Ekonomi Syariah Kelas 10 Semester 1 Pada tahun 2017 Prodi Ilmu ekonomi syariah telah menjadi Departemen Ilmu Ekonomi Syariah berdasarkan Surat Keputusan Rektor IPB nomor 173IT3OT2017. Materi Ekonomi SMAMA Kelas X Semester 1. |
| Lihat Rpp Kls X Ekonomi Semester 1 Pdf |
Tulisan uji kompetensi soal ekonomi kelas x semester 1 kurikulum 2013 beserta jawabannya tulisan ini berisikan materi ekonomi yang sama dengan contoh soal essay ekonomi bagian pertama yaitu tentang konsep ilmu ekonomisoal soal ekonomi yang ada sesuai dengan permendikbud no. Pdf Materi Kuliah Statistika Ekonomi 1 Tria N R Academia Edu Materi Ekonomi Syariah Kelas 10 Semester 1 Contoh Soal Materi Ekonomi Syariah.
Pdf Materi Kuliah Statistika Ekonomi 1 Tria N R Academia Edu Materi Ekonomi Syariah Kelas 10 Semester 1 Kelangkaan ekonomi ada di Bab 1 - Masalah Ekonomi Semester 1 kelas X. Adapun yg dimaksud ahli ekonomi atau. |
| Lihat Pdf Materi Kuliah Statistika Ekonomi 1 Tria N R Academia Edu |
Buat materi Ekonomi yang hendak aku jabarkan disini seluruhnya bersumber dari buku guru serta pula buku siswa Ekonomi kelas 10 SMA kurikulum 2013 edisi revisi terbaru. Pengantar Ilmu Ekonomi Tentang Mata Kuliah Deskripsi Mata Materi Ekonomi Syariah Kelas 10 Semester 1 Konsep Ilmu Ekonomi B.
Pengantar Ilmu Ekonomi Tentang Mata Kuliah Deskripsi Mata Materi Ekonomi Syariah Kelas 10 Semester 1 Materi Ekonomi Kelas 10 Semester 1 Kurikulum 2013 Pdf Belajar From kitabelajargithubio. Download contoh soal dan kunci jawaban uas geografi kelas 10 x semester 1 uas 1 ujian akhir semester. |
| Lihat Pengantar Ilmu Ekonomi Tentang Mata Kuliah Deskripsi Mata |

Buku Guru Ekonomi Kelas 10 Kurikulum 2013 - Seputaran Guru BUKU EKONOMI UNTUK SMAMA KELAS X PEMINATAN KUR-13 Revisi Download Buku Ekonomi Kelas 10 K13 Edisi Revisi 2016 - pglasopa Buku Ekonomi Kelas 10 Pdf IlmuSosialid BUKU GURU EKONOMI SMAMA KELAS X. Buku Ekonomi 1 Siswa Sma Ma Kelas 10 X Edisi K13 Revisi Indonesia Materi Ekonomi Syariah Kelas 10 Semester 1 Materi ekonomi kelas 10 kurikulum 2013 pdf.
Buku Ekonomi 1 Siswa Sma Ma Kelas 10 X Edisi K13 Revisi Indonesia Materi Ekonomi Syariah Kelas 10 Semester 1 Detail Kunci Jawaban Buku Esis Ekonomi Kelas 10 Bab 1 PDF dapat kamu nikmati dengan cara klik link download dibawah dengan mudah tanpa iklan yang mengganggu. Materi Ekonomi Kelas 10 Semester 1 Kurikulum 2013 Pdf. |
| Lihat Buku Ekonomi 1 Siswa Sma Ma Kelas 10 X Edisi K13 Revisi Indonesia |

Http Bsd Pendidikan Id Data Sma 10 Ekonomi 1 Sma Kelas 10 Sri Nur Mulyati Agus Mahfudz Leni Permana 2009 Pdf. Jual Buku Ekonomi Kelas X Di Surabaya Harga Terbaru 2021 Materi Ekonomi Syariah Kelas 10 Semester 1
Jual Buku Ekonomi Kelas X Di Surabaya Harga Terbaru 2021 Materi Ekonomi Syariah Kelas 10 Semester 1 |
| Lihat Jual Buku Ekonomi Kelas X Di Surabaya Harga Terbaru 2021 |

Ppt Pengertian Ilmu Ekonomi 1 Kelangkaan Scarcity Menyangkut Kuantitas Sesuai Kebutuhan Powerpoint Presentation Id 3487265 Materi Ekonomi Syariah Kelas 10 Semester 1
Ppt Pengertian Ilmu Ekonomi 1 Kelangkaan Scarcity Menyangkut Kuantitas Sesuai Kebutuhan Powerpoint Presentation Id 3487265 Materi Ekonomi Syariah Kelas 10 Semester 1 |
| Lihat Ppt Pengertian Ilmu Ekonomi 1 Kelangkaan Scarcity Menyangkut Kuantitas Sesuai Kebutuhan Powerpoint Presentation Id 3487265 |
![]()
Jual Ekonomi Kelas 10 Di Jakarta Barat Harga Terbaru 2021 Materi Ekonomi Syariah Kelas 10 Semester 1
Jual Ekonomi Kelas 10 Di Jakarta Barat Harga Terbaru 2021 Materi Ekonomi Syariah Kelas 10 Semester 1 |
| Lihat Jual Ekonomi Kelas 10 Di Jakarta Barat Harga Terbaru 2021 |

Buku Ekonomi 1 Siswa Sma Ma Kelas 10 X Edisi K13 Revisi Indonesia Materi Ekonomi Syariah Kelas 10 Semester 1
Buku Ekonomi 1 Siswa Sma Ma Kelas 10 X Edisi K13 Revisi Indonesia Materi Ekonomi Syariah Kelas 10 Semester 1 |
| Lihat Buku Ekonomi 1 Siswa Sma Ma Kelas 10 X Edisi K13 Revisi Indonesia |

Selamat Bergabung Pada Kuliah Pengantar Ilmu Ekonomi Pio Materi Ekonomi Syariah Kelas 10 Semester 1
Selamat Bergabung Pada Kuliah Pengantar Ilmu Ekonomi Pio Materi Ekonomi Syariah Kelas 10 Semester 1 |
| Lihat Selamat Bergabung Pada Kuliah Pengantar Ilmu Ekonomi Pio |
Demikianlah Artikel mengenai materi ekonomi syariah kelas 10 semester 1, Sistem ekonomi 1 pdf selamat bergabung pada kuliah pengantar ilmu ekonomi pio ppt pengertian ilmu ekonomi 1 kelangkaan scarcity menyangkut kuantitas sesuai kebutuhan powerpoint presentation id 3487265 sma10eko ekonomi mintasihindriayu jual buku ekonomi kelas x di surabaya harga terbaru 2021 ekonomi syariah ekonomi kelas 10 k13 quipper blog sistem ekonomi 1 pdf top pdf prinsip dan motif ekonomi 123dok , semoga mencerahkan.
0 Komentar